返回主站
|
会员中心
|
保存桌面
|
手机浏览
乐清市览星电气有限公司
线夹 固定金具 连接金具
网站首页
公司介绍
供应产品
采购清单
新闻中心
荣誉资质
联系方式
公司相册
商城
企业档案
企业会员
第
1
年
乐清市览星电气有限公司
徐爱文
女士
和我联系
经营范围:
线夹 固定金具 连接金具
主营行业:
电力金具
所在地区:
浙江/温州市
信用指数:
0
认证信息:
企业资料通过认证
保证金:
0.00 元
产品分类
暂无分类
站内搜索
供应产品
采购清单
新闻中心
荣誉资质
公司相册
商城
友情链接
暂无链接
首页
>
供应产品
>
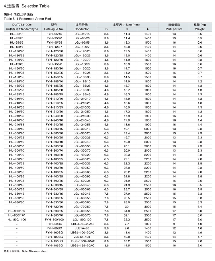
防震护线条保护金具预绞丝护线条 光缆用钢芯铝绞线FYH95型护线条
防震护线条保护金具预绞丝护线条 光缆用钢芯铝绞线FYH95型护线条
浏览:
159
单价:
20.94元/条
最小起订量:
10 条
供货总量:
300000 条
发货期限:
自买家付款之日起
15
天内发货
有效期至:
长期有效
最后更新:
2024-12-12 16:54
详细信息
本店销售中商品标价,
均为不含税报价
需开发票请联系客服拿含税价
询价单
管理入口
|
返回顶部
©2026 乐清市览星电气有限公司 版权所有 技术支持:
电力服务云
访问量:208